ANÁLISIS DE GENEALOGÍAS
Todas las conclusiones que tienen que ver con la acción génica (dominante/recesiva; codominancia), provienen del análisis de cruzamientos controlados. En algunas situaciones no tenemos oportunidad de realizar cruzamientos controlados y debemos analizar una población ya existente. Este es siempre el caso de la genética humana. Los científicos han diseñado otra aproximación denominada análisis de genealogías o pedigree, para estudiar la herencia de los genes en los seres humanos. Los análisis de genealogías también son útiles cuando se estudia una población en que los datos de la progenie de algunas generaciones es limitado. También se utilizan para estudiar especies que tienen un tiempo de generación largo.
Se utiliza una serie de símbolos para representar diferentes aspectos de una genealogía.
Una vez que se reúnen los datos de varias generaciones y se dibuja la genealogía, un análisis cuidadoso permitirá determinar si la característica es dominante o recesiva. Hay algunas reglas a seguir:
1. Para aquellos caracteres que exhiban una acción génica dominante:
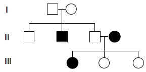
La siguiente es una genealogía de una característica determinada por un gen dominante.
2. Para aquellas características que exhiben una acción génica recesiva:
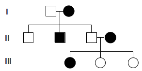
La siguiente es una genealogía de una característica controlada por una acción génica recesiva.
PREGUNTA: En la familia de la ilustración se indican los grupos sanguíneos de cada individuo, donde el alelo A y el alelo B son dominantes y el alelo O es recesivo. Uno de los miembros de la genealogía tiene un grupo sanguíneo no explicable en base al tipo de herencia del carácter. Indicar de qué persona se trata.