POTENCIACIÓN Y RADICACIÓN DE FRACCIONES
Potenciación de Fracciones
la potencia de una fracción es igual al cociente de las potencias del numerador y el denominador, con el mismo exponente.
Propiedades de la Potenciación de fracciones:
la potenciación de fracciones cumple las siguientes propiedades:
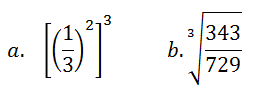
EJEMPLO 1: Calcular las siguientes potencias.
Aplicando las propiedades de la potenciación de fracciones, se tiene:
Radicación de Fracciones
La raíz de una fracción es igual al cociente de las raíces del numerador y del denominador, con el mismo índice.
EJEMPLO 2: Calcular las siguientes raíces:
Solución:
PREGUNTA: Calcular la potencia y la raíz siguientes: